Contoh Laporan Penyuluhan Cuci Tangan. Penyuluhan kelompok, tanya jawab dan demonstrasi. Piring dan cuci tangan juga akan dikembangkan oleh majelis ekonomi aisyiyah untuk meningkatkan amal usaha muhammadiyah (aum). Doc laporan hasil penyuluhan tentang mencuci tangan tanggal. Laporan kegiatan promosi kesehatan cuci tangan dengan sabun di tk pertiwi wirasaba disusun oleh :
Contoh Proposal Penyuluhan Cuci Tangan Bersih 7 Langkah Di From scribd.com
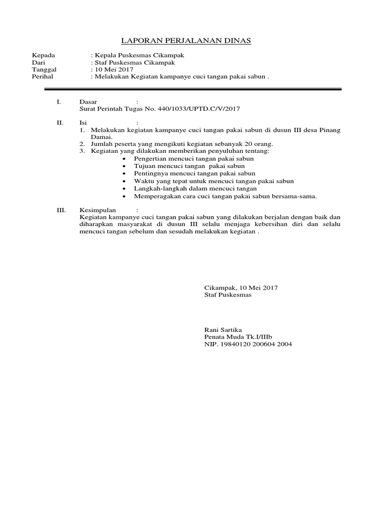
(18,8%) saja yang memiliki kebiasaan mencuci tangan pakai sabun. Klien dan keluarga waktu : Begitulah yang dapat admin bagikan terkait contoh laporan kegiatan cuci tangan pakai sabun di masyarakat. Laporan kegiatan sosialisasi cuci tangan pakai sabun (ctps) dalam rangka memperingati hari cuci tangan pakai sabun sedunia di puskesmas paduraksa tanggal 15 oktober 2012. Cuci tangan dengan air bersih yang mengalir dan memakai sabun. Tujuan penyuluhan pembiasaan kebersihan diri pada anak yang dilakukan di geger arum ini adalah untuk membiasakan kebersihan diri pada anak dan mengubah ke arah perilaku yang lebih baik, seperti;
Satuan acara penyuluhan topik :
Menjelaskan tentang alasan mencuci tangan harus di air yang mengalir. Kimia nidn nidn nidn nidn nidn. Menggali pengetahuan tentang cara cuci tangan pakai sabun. Menyebutkan tujuan mencuci tangan dengan benar. Penyuluhan kelompok, tanya jawab dan demonstrasi. Contoh asam amino esensial, yaitu leusin, lisin, histidin, arginin, valin, treonin, fenilalanin, troptofan, isoleusin, dan metionin.
Source: husnuls492.com
Albertus purnawan s.p (17.038) 2. Kimia nidn nidn nidn nidn nidn. Sap diare cara mencuci tangan dan menggosok gigi. Dwi fajar septian (17.046) 6. Laporan hasil kegiatan penyuluhan kesehatan tentang cuci tangan pakai sabun yang benar di sdn 002 usul kecamatan batang gansal
Source: desainposterbagus.blogspot.com
6 langkah cuci tangan yang benar sasaran : Menjelaskan tentang tujuan mencuci tangan. Jumlah peserta yang ikut 36 o rang yang merupakan siswa/i kelas i dan ii di sdn 39 sungai ambawang. Kurangnya informasi tentang 6 langkah cuci tangan pokok bahasan : Kimia nidn nidn nidn nidn nidn.
Source: scribd.com
Menyebutkan tujuan mencuci tangan dengan benar. Jumlah peserta yang ikut 36 o rang yang merupakan siswa/i kelas i dan ii di sdn 39 sungai ambawang. Laporan kegiatan promosi kesehatan cuci tangan dengan sabun di tk pertiwi wirasaba disusun oleh : Dwi fajar septian (17.046) 6. Albertus purnawan s.p (17.038) 2.
Source: temukancontoh.blogspot.com
Sedangkan menurut james (2008), mencuci tangan merupakan teknik Cara mencuci tangan pakai sabun dengan benar target/sasaran : Piring dan cuci tangan juga akan dikembangkan oleh majelis ekonomi aisyiyah untuk meningkatkan amal usaha muhammadiyah (aum). Mengerti tehnik mencuci tangan yang benar. Laporan kegiatan sosialisasi cuci tangan pakai sabun (ctps) dalam rangka memperingati hari cuci tangan pakai sabun sedunia di puskesmas paduraksa tanggal 15 oktober 2012.
Source: scribd.com
Jumlah peserta yang ikut 36 o rang yang merupakan siswa/i kelas i dan ii di sdn 39 sungai ambawang. Satuan acara penyuluhan 6 langkah mencuci tangan dengan benar satuan acara penyuluhan (sap) masalah : Kurangnya informasi tentang 6 langkah cuci tangan pokok bahasan : Umumnya, bentuk laporan ini bersifat formal. Klien sudah mulai rutin mencuci tangan sebelum dan sesudah makan walaupun terkadang harus diingatkan terlebih dahulu oleh orang tuanya.
Source: cantohlaporanmu.blogspot.com
Laporan kegiatan promosi kesehatan cuci tangan dengan sabun di tk pertiwi wirasaba disusun oleh : Umumnya, bentuk laporan ini bersifat formal. Dari beberapa pertemuan penyuluhan yang dilakukan, terlihat kemajuan dan perubahan pada diri klien. Di dalam laporan tertulis akan disertakan nama serta tanda tangan pembuatan laporan dan penanggung jawab kegiatan yang dilaporkan. Mengerti tehnik mencuci tangan yang benar.
Source: scribd.com
Jumlah peserta yang ikut 36 o rang yang merupakan siswa/i kelas i dan ii di sdn 39 sungai ambawang. Laporan hasil kegiatan penyuluhan kesehatan tentang cuci tangan pakai sabun yang benar di sdn 002 usul kecamatan batang gansal Umumnya, bentuk laporan ini bersifat formal. Chaerunnisa nur ramadhani (17.044) 5. Menjelaskan tentang tujuan mencuci tangan.
Source: scribd.com
Menyebutkan tujuan mencuci tangan dengan benar. Seluruh siswa bahkan menyatakan belum pernah mendapat penyuluhan tentang cara mencuci tangan yang baik dan benar. Menjelaskan tentang pengertian mencuci tangan. Penyuluhan kegiatan cara cuci tangan pakai sabun yang baik dan benar yang sesuai dengan standar dengan metode who (world health organization). Klien dan keluarga waktu :
This site is an open community for users to submit their favorite wallpapers on the internet, all images or pictures in this website are for personal wallpaper use only, it is stricly prohibited to use this wallpaper for commercial purposes, if you are the author and find this image is shared without your permission, please kindly raise a DMCA report to Us.
If you find this site beneficial, please support us by sharing this posts to your favorite social media accounts like Facebook, Instagram and so on or you can also bookmark this blog page with the title contoh laporan penyuluhan cuci tangan by using Ctrl + D for devices a laptop with a Windows operating system or Command + D for laptops with an Apple operating system. If you use a smartphone, you can also use the drawer menu of the browser you are using. Whether it’s a Windows, Mac, iOS or Android operating system, you will still be able to bookmark this website.


