Contoh Makalah Bahasa Indonesia Smp Kelas 7. Masyarakat adat sebagai cerminan keberagaman. Sebagai warisan seni yang sangat berharga, kita hendaknya belajar memainkan angklung. Contoh soal bahasa indonesia kelas 7 semester 2 genap berilah tanda silang x pada huruf a b c atau d di depan jawaban yang benar. 15 contoh makalah yang baik dan benar cara membuat makalah lengkap.
Contoh Rpp Bahasa Inggris Smp surveyolpor From surveyolpor.weebly.com
Contoh soal bahasa indonesia kelas 7 semester 2 genap berilah tanda silang x pada huruf a b c atau d di depan jawaban yang benar. Angklung merupakan warisan seni tradisional indonesia. 15 contoh makalah yang baik dan benar cara membuat makalah lengkap. Menghargai dan menghayati ajaran agama yang dianutnya ki 2 : Kelas bahasa indonesia kelas 7 7 contoh teks prosedur smp/mts materi revisi. 4 sampai 6, dan 11 dalam bentuk teks hasil observasi yang diberikan kepada siswa, selain itu.
Contoh karya tulis ilmiah lengkap.
Contoh karya tulis ilmiah lengkap. Soal essay pmkr kelas 11 semester 1. Hal ini tidak hanya digunakan dalam kehidupan kuliah maupun sekolah saja, bahkan dalam dunia bekerja juga. Untuk detail harga administrasi dan perangkat bk klik disini. Mengamati lingkungan dan budaya indonesia halaman: Soal bahasa indonesia kelas 7 by azzahra rahmah posted on january 27 2020 rumus co id pada kesempatan kali ini kita akan membahas makalah materi tentang soal bahasa indonesia kelas 7 dan kunci jawabannya yang mana pada pembahasan sebelumnya kita telah membahas makalah materi tentang soal bahasa indonesia kelas 6.
Source: kanaljabar.com
Contoh soal bahasa indonesia kelas 7 semester 2 genap berilah tanda silang x pada huruf a b c atau d di depan jawaban yang benar. Sebagai warisan seni yang sangat berharga, kita hendaknya belajar memainkan angklung. Makalah ini dipublikasikan di blog ini dengan tujuan untuk meningkatkan kemudahan para pendidik untuk memperolehnya dengan lebih banyak terindeks pada search engine. Contoh rpp matematika smp/mts kelas 7 kurikulum 2013 ini membahas tentang: Kelas bahasa indonesia kelas 7 7 contoh teks prosedur smp/mts materi revisi.
Source: pejuangsoal.blogspot.com
Makalah ini dipublikasikan di blog ini dengan tujuan untuk meningkatkan kemudahan para pendidik untuk memperolehnya dengan lebih banyak terindeks pada search engine. 50+ contoh cover makalah yang baik dan benar untuk pelajar smp, sma dan mahasiswa kuliah. 14 contoh makalah bahasa indonesia kelas 9 smp. Contoh soal pas uas bahasa indonesia kelas 7 smp mts kurikulum 2013 ini diharapkan dapat menjadi referensi belajar peserta didik kelas 7 smp mts dalam menghadapi penialian akhir semester 1. Contoh rpp abad21 smp b.indonesia kls vii terbaru ini hanya sebagai contoh.
Source: surveyolpor.weebly.com
Makalah materi soal bahasa indonesia kelas 7 smp/mts diterangkan mulai. Terima kasih telah berkunjung ke laman blog ini. Dibuat sesuai edaran kemendikbud nomor 14 tahun 2019 dan disesuaikan juga dengan kebutuhan di masa pandemi ini. Contoh penyusunan rpp bahasa indodnesia untuk smp kurikulum 2013 terbaru yang dapat membantu para pengajar semuanya, serta pembahasan lainnya. Literasi buku fiksi dan nonfiksi kelas 7 smp it istana mulia semester 2 ta 2018 / 2019 materi.
Source: mkh.sch.id
Contoh soal bahasa indonesia kelas 7 semester 2 genap berilah tanda silang x pada huruf a b c atau d di depan jawaban yang benar. Contoh cerita pendek (cerpen) sering kita temukan di media cetak indonesia, misalnya koran dan majalah. Contoh penyusunan rpp bahasa indodnesia untuk smp kurikulum 2013 terbaru yang dapat membantu para pengajar semuanya, serta pembahasan lainnya. Dibuat sesuai edaran kemendikbud nomor 14 tahun 2019 dan disesuaikan juga dengan kebutuhan di masa pandemi ini. Beberapa judul cerpen tersebut diantaranya:
Source: es.scribd.com
Kunci jawaban bahasa indonesia kelas 7 halaman 27 28 29 penggunaan. Contoh pertanyaan tentang mata pelajaran bahasa indonesia secara khusus ditujukan untuk adik yang berada di kelas 7 smp. Namun, khusus di smp kelas 9, peserta didik hanya akan diajarkan dua materi akm saja, yaitu literasi teks fiksi dan literasi informasi. My rabbit family my own novel our novelet e lit a kingdom 2011 kak dika si kambing jantan yang kreatif juli 1 april 3 2012 24 desember 1 november 4 oktober 6 juni 1. 15 contoh makalah yang baik dan benar cara membuat makalah lengkap.
Source: trinitybelajarsoal.blogspot.com
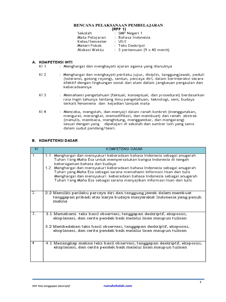
Rpp berisi tiga komponen yaitu tujuan pembelajaran, kegiatan pembelajaran dan penilaian. Contoh karya tulis ilmiah lengkap. Bahan ajar bahasa indonesia ppt kelas 7 bab 3. Bahan ajar bahasa indonesia ppt kelas 7 bab 2 unduh 3. Rencana pelaksanaan pembelajaran (rpp 1) sekolah :
Source: id.scribd.com
Soal bahasa indonesia kelas 7 by azzahra rahmah posted on january 27 2020 rumus co id pada kesempatan kali ini kita akan membahas makalah materi tentang soal bahasa indonesia kelas 7 dan kunci jawabannya yang mana pada pembahasan sebelumnya kita telah membahas makalah materi tentang soal bahasa indonesia kelas 6. Menghargai dan menghayati ajaran agama yang dianutnya ki 2 : Contoh soal bahasa indonesia kelas 7 semester 2 genap berilah tanda silang x pada huruf a b c atau d di depan jawaban yang benar. Teks deskripsi alokasi waktu : Karya tulis bahasa indonesia sma mengenai minat siswa terhadap pelaja.
Source: slideshare.net
Contoh soal bahasa indonesia kelas 7 semester 2 genap berilah tanda silang x pada huruf a b c atau d di depan jawaban yang benar. 14 contoh makalah bahasa indonesia kelas 9 smp. Menggunakan konsep himpunan dan diagram venn dalam pemecahan masalah. Contoh cerita pendek (cerpen) sering kita temukan di media cetak indonesia, misalnya koran dan majalah. Lengkap beserta struktur, format & tata cara membuat cover/sampul makalah yang benar, kreatif & rapi [update terbaru 2018]
This site is an open community for users to do sharing their favorite wallpapers on the internet, all images or pictures in this website are for personal wallpaper use only, it is stricly prohibited to use this wallpaper for commercial purposes, if you are the author and find this image is shared without your permission, please kindly raise a DMCA report to Us.
If you find this site adventageous, please support us by sharing this posts to your preference social media accounts like Facebook, Instagram and so on or you can also bookmark this blog page with the title contoh makalah bahasa indonesia smp kelas 7 by using Ctrl + D for devices a laptop with a Windows operating system or Command + D for laptops with an Apple operating system. If you use a smartphone, you can also use the drawer menu of the browser you are using. Whether it’s a Windows, Mac, iOS or Android operating system, you will still be able to bookmark this website.


