Contoh Makalah .

Contoh Soal Basic Avsec

Written by Sani Oct 20, 2021 · 4 min read
Contoh Soal Basic Avsec

Contoh Soal Basic Avsec. Choose the correct word to fill in the blanks! Gambar 11 setelah selesai running progra. Contoh soal vektor kolom, baris dan basis dan jawabannya. The jft basic is also used as a test to measure the level of japanese language proficiency needed to obtain the residency status of specified skilled worker i which began in april 1 2019.

10+ Latihan Soal Tes Bahasa Inggris Paling Dicari Study Soal 10+ Latihan Soal Tes Bahasa Inggris Paling Dicari Study Soal From studysoal2.blogspot.com

Contoh makalah metodologi studi islam Contoh makalah mea Contoh makalah neraca perdagangan Contoh makalah ms word

Jika ada sedang mencari contoh soal ujian basic avsec pdf. Kalian pastinya sudah paham dengan apa yang di maksud dengan simple past tense dan contoh. Untuk a 50 b 80 c70. Melakukan pengrusakan/penghancuran pesawat udara di darat (in service); Gambar 11 setelah selesai running progra. Mengerjakan soal simple present tense menjadi sangat mudah dan cepat jika tahu bagaimana tips menjawabnya!

Jadi, jawaban soal nomor 10 adalah a.

My grandfather gave me a very useful piece of advice. Simple random sampling statistik dan parameter. All the video content owned by youtube uploader/video creator. Get you assume that you require to get those every needs following having significantly cash. Berikut yang anda butuhkan terkait contoh program perulangan dan percabangan pada visual basic. 93 93 found this document useful mark this document as useful.

Contoh Soal Offering Help Essay Dan Jawabannya LEMBAR EDU Source: lembaredu.github.io

The strike will affect all trains in the london area. Jadi, jawaban soal nomor 10 adalah a. ( you are usually good at math ) There is always the possibility that the plane will be early. Format dari contoh surat lamaran kerja sangat mempengaruhi diterima tidaknya kita ketika sedang melamar di perusahaan.

10+ Latihan Soal Tes Bahasa Inggris Paling Dicari Study Soal Source: studysoal2.blogspot.com

We don’t owned or create all the video that posted here. Berat tanah kering oven 16 gr jika berat jenis tanah gs 271. Contoh soal tes tertulis masuk kerja mekanik alat berat. 25 contoh kalimat present tense. Nah itu adalah contoh program kuis yang saya buat.

Contoh Soal Ujian Ppnpn Kemnaker Contoh Soal JFT Basic Source: vvatpwl.blogspot.com

My grandfather gave me a very useful piece of advice. The jft basic is also used as a test to measure the level of japanese language proficiency needed to obtain the residency status of specified skilled worker i which began in april 1 2019. Latihan soal bahasa inggris tentang simple present tense dan jawabannya; 23 contoh soal simple past tense essay dan jawabannya. Berikut ini adalah contoh tindakan melawan hukum (acts of unlawful interference), kecuali a.

Contoh Soal Basic Grammar Source: contoh-contoh-soal.blogspot.com

Download soal ujian negara basic avsec. Selamat mengerjakan latihan contoh soal past continuous tense ya, detikers. Berat tanah kering oven 16 gr jika berat jenis tanah gs 271. 25 contoh kalimat present tense. The strike will affect all trains in the london area.

Contoh Soal Ujian Ppnpn Kemnaker Contoh Soal JFT Basic Source: vvatpwl.blogspot.com

Contoh program perulangan dan percabangan pada visual basic. Contoh soal ujian jft basic. Berikut beberapa contoh soal simple present tense sebagai bahan latihan mengerjakan exercise atau quiz present simple! Are / good at / you / math / usually. Contoh program perulangan dan percabangan pada visual basic.

Contoh Soal Psikotes Avsec Tugas Kelompok Source: tugasoalkelompok.blogspot.com

( they are great and successful people ) 17. Pernyataan ini digunakan untuk mengulangi suatu blok statemen selama kondisi yang disyaratkan bernilai true dengan. Peraturan keamanan penerbangan sipil modul basic avsec diklat junior avsec stpi diperkuat dengan materi wawasan. Berikut beberapa contoh soal simple present tense sebagai bahan latihan mengerjakan exercise atau quiz present simple! Fill in the correct form of the verbs.

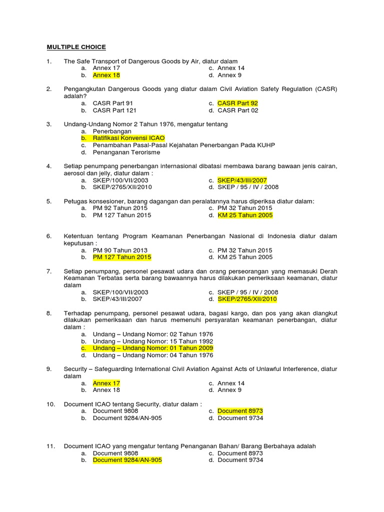
Soal Ujian Negara Basic Avsec Source: scribd.com

We are not take any responsibility for the video content. Late / is / my friend / always / for school. Contoh soal tes tertulis masuk kerja mekanik alat berat. Pernyataan ini digunakan untuk mengulangi suatu blok statemen selama kondisi yang disyaratkan bernilai true dengan. ( my friend is always late for school ) 18.

SoalSoal Pilihan Ganda Bilngn Eksponen Pilihan Ganda Source: srkkjeplplvxm.blogspot.com

Dalam vektor ruang dua dimensi memiliki dua vektor basis yaitu dan. Contoh program pertama ketikan coding pada program qbasic seperti gambar 11. 20 contoh soal beserta jawaban dan pembahasan simple present tense simple past tense dan simple future tense by pustaka bahasa inggris posted on january 4. Are / good at / you / math / usually. 20 contoh soal simple present tense tersulit berani coba from www.bigbanktheories.com.

This site is an open community for users to do submittion their favorite wallpapers on the internet, all images or pictures in this website are for personal wallpaper use only, it is stricly prohibited to use this wallpaper for commercial purposes, if you are the author and find this image is shared without your permission, please kindly raise a DMCA report to Us.

If you find this site adventageous, please support us by sharing this posts to your preference social media accounts like Facebook, Instagram and so on or you can also save this blog page with the title contoh soal basic avsec by using Ctrl + D for devices a laptop with a Windows operating system or Command + D for laptops with an Apple operating system. If you use a smartphone, you can also use the drawer menu of the browser you are using. Whether it’s a Windows, Mac, iOS or Android operating system, you will still be able to bookmark this website.