Contoh Soal Dan Pembahasan Relasi Rekursif Dengan Fungsi Pembangkit. Relasi sifat relasi dan contoh soal definisi relasi relasi biner r antara himpunan a dan b adalah himpu. Operasi himpunan, proposisi dalam logika, relasi, fungsi, bahasa mesin, dll. Grimaldi “discrete and combinatorial mathematics an applied introduction”, terutama terkait dengan persamaan rekursif dan prinsip kombinasi. Bagian ini menyajikan metode pencacahan dengan pendekatan yang berbeda dari apa yang sudah dikembangkan.
Contoh Soal Dan Pembahasan Relasi Rekursif Dengan Fungsi From dapatkancontoh.blogspot.com
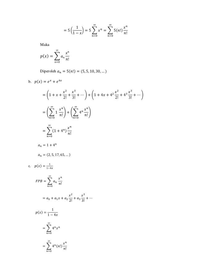
Contoh soal fungsi pembangkit momen zaelani ahmad ,dkk.2006.1700 bank soal bimbingan pemantapan matematika untuk sma/ma. Fungsi pembangkit generating functions ppt download. Materi yang disajikan juga tidak terlalu banyak, tetapi kebanyakan orang kesulitan dalam menyelesaikan persoalan terkait fungsi pembangkit. Kemudian permasalahan yang dikaji dibatasi dalam barisan bilangan real dan relasi rekursif. Fungsi pembangkit (generating function) adalah salah satu materi kuliah matematika diskrit. Anda diharuskan sudah menguasai teknik dekomposisi pecahan parsial karena pada pos ini, langkah menguraikan bentuk pecahan yang akan didekomposisi akan dilewatkan (skip).
Tentukan banyaknya kata sandi yang dapat dibentuk dari kata cantik dengan syarat setiap huruf vokalnya harus muncul.
Faktorial matematika beserta contoh soal dan jawaban pinterpandai. Bahasan ini akan memperkenalkan konsep fungsi pembangkit. Di postingan contoh soal matematika diskrit dan logika beserta jawaban. Bagian ini menyajikan metode pencacahan dengan pendekatan yang berbeda dari apa yang sudah dikembangkan. Contoh soal dan pembahasan relasi rekursi matematika informatika kelompok : Pembahasan jawabannya menggunakan teknik yang terdapat di buku ralph p.
Source: soal.revisi.id
Fungsi pembangkit dikembangkan untuk menangani batasan batasan khusus dalam pemilihan dan permasalahan arangement menyusun objek dengan pengulangan. Grimaldi “discrete and combinatorial mathematics an applied introduction”, terutama terkait dengan persamaan rekursif dan prinsip kombinasi. Barisan fibonacci , , , , , , , ,. Kemudian permasalahan yang dikaji dibatasi dalam barisan bilangan real dan relasi rekursif. Berikut informasi sepenuhnya tentang contoh soal dan pembahasan relasi rekursif dengan fungsi pembangkit.
Source: dikdasmen.my.id
Soal matematika diskrit lengkap jawaban author. 2 menyelesaikan persamaan rekursif linear. Dasar bagian 2 baca juga: Berikut ini merupakan soal dan pembahasan mengenai relasi rekursi linear homogen dengan koefisien konstan. Contoh soal dan pembahasan relasi rekursi matematika informatika kelompok :
Source: dikdasmen.my.id
Mahasiswa dapat memahami definisi fungsi pembangkit. Berikut ini merupakan soal dan pembahasan terkait kasus kombinasi yang terselesaikan dengan menggunakan prinsip fungsi pembangkit. Contoh pemakaian fungsi vlookup dan hlookup pada ms excel posted by edutafsi on 27 may 2015 1028 am untuk melengkapi sebuah kolom data yang kosong dan mengisinya sesuai dengan spesifikasinya maka kita dapat menggunakan rumus vlookup dan hlookup. 3142 atau 4321 adalah derangement deri 1234 akan tetapi 3124 bukan derangement dari 1234, sebab dalam 3124, elemen 4 menempati posisi nya semula (posisi keempat). Diketahui suatu barisan c0, c1, c2,.
Source: dapatkancontoh.blogspot.com
Bahasan ini akan memperkenalkan konsep fungsi pembangkit. Faktorial matematika beserta contoh soal dan jawaban pinterpandai. Di postingan contoh soal matematika diskrit dan logika beserta jawaban. Untuk mengatasi kesulitan seperti itu, berikut ini disajikan sejumlah soal beserta penyelesaiannya mengenai fungsi. Fungsi pembangkit (generating function) adalah salah satu materi kuliah matematika diskrit.
Source: dapatkancontoh.blogspot.com
Soal dan pembahasan kombinatorika tingkat lanjut. Semoga dapat dijadikan referensi untuk memantapkan penguasaan materi. Tentukan banyaknya kata sandi yang dapat dibentuk dari kata cantik dengan syarat setiap huruf vokalnya harus muncul. Daftar isi [ buka] 1 relasi rekursif linear. Definisi rekursif merupakan suatu jawaban ketika untuk menentukan rumus eksplisit suatu barisan sangat rumit atau bahkan mustahil.
Source: dikdasmen.my.id
Menyelesaikan relasi rekursif dengan fungsi pembangkit____37. 2 menyelesaikan persamaan rekursif linear. Dari soal dapat diketahui bahwa persamaan karakteristiknya adalah : Soal dan pembahasan relasi dan fungsi doc. Hal ini terjadi tidak hanya pada barisan bilangan, tetapi juga paling sering terjadi pada beberapa konsep matematika yang lain, seperti:
Source: dapatkancontoh.blogspot.com
Contoh soal relasi dan fungsi matematika diskrit beserta jawabannya download file guru. Grimaldi “discrete and combinatorial mathematics an applied introduction”, terutama terkait dengan persamaan rekursif dan prinsip kombinasi. Pembahasan soal olimpiade matematika sma relasi rekursif 1. Dasar bagian 1 baca juga: Faktorial matematika beserta contoh soal dan jawaban pinterpandai.
Source: dapatkancontoh.blogspot.com
3 contoh soal dan pembahasan. Definisi rekursif merupakan suatu jawaban ketika untuk menentukan rumus eksplisit suatu barisan sangat rumit atau bahkan mustahil. Hal ini terjadi tidak hanya pada barisan bilangan, tetapi juga paling sering terjadi pada beberapa konsep matematika yang lain, seperti: 3142 atau 4321 adalah derangement deri 1234 akan tetapi 3124 bukan derangement dari 1234, sebab dalam 3124, elemen 4 menempati posisi nya semula (posisi keempat). Mahasiswa dapat memahami definisi fungsi pembangkit.
This site is an open community for users to submit their favorite wallpapers on the internet, all images or pictures in this website are for personal wallpaper use only, it is stricly prohibited to use this wallpaper for commercial purposes, if you are the author and find this image is shared without your permission, please kindly raise a DMCA report to Us.
If you find this site value, please support us by sharing this posts to your own social media accounts like Facebook, Instagram and so on or you can also bookmark this blog page with the title contoh soal dan pembahasan relasi rekursif dengan fungsi pembangkit by using Ctrl + D for devices a laptop with a Windows operating system or Command + D for laptops with an Apple operating system. If you use a smartphone, you can also use the drawer menu of the browser you are using. Whether it’s a Windows, Mac, iOS or Android operating system, you will still be able to bookmark this website.


