Contoh Soal Dan Pembahasan Tumbukan. Berikut ini beberapa contoh soal mengenai impuls momentum dan tumbukan beserta pembahasannya. Pengertian momentum dan impuls rumus contoh soal dan jawaban momentum dan impuls lengkap apabila kalian berada di dalam mobil bus yang sedang bergerak dengan kecepatan. 3 ms dan 7 ms b. Mencakup hukum kekekalan momentum penggunaan hukum kekekalan energi mekanik dan beberapa kasus tumbukan.
Contoh Soal Relasi Dan Fungsi Beserta Pembahasannya Sma From websiteedukasi.id
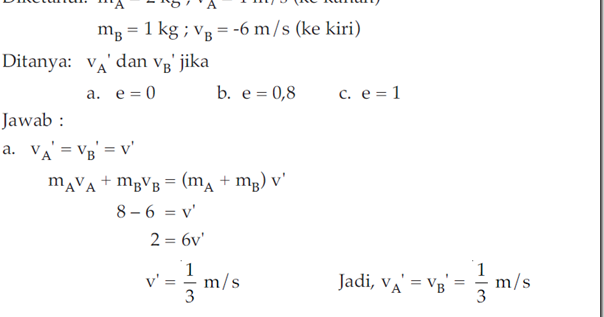
Tumbukan lenting sempurna, tumbukan tidak lenting atau tidak lenting sama sekali, dan tumbukan lenting sebagian dengan koefisien restituti. Jika tumbukannya lenting sempurna, berapakah kecepatan. Berikut ini beberapa contoh soal mengenai impuls momentum dan tumbukan beserta pembahasannya. Kemudian, peluru tersebut ditembakkan pada balok ayunan balistik yang mempunyai massa 1 kilogram. Contoh soal momentum menentukan massa benda Massa peluru (m 1) = 0,03 kg massa balok (m 2) =.
Contoh soal momentum menentukan massa benda
Tumbukan lenting sempurna, tumbukan tidak lenting atau tidak lenting sama sekali, dan tumbukan lenting sebagian dengan koefisien restituti. Dan 0 < e < 1. Massa peluru (m 1) = 0,03 kg massa balok (m 2) =. Tumbukan lenting sempurna, tumbukan tidak lenting atau tidak lenting sama sekali, dan tumbukan lenting sebagian dengan koefisien restituti. Pengertian teori tumbukan reaksi kimia. Tumbukan tidak lenting sama sekali smk kesehatan samarinda ppt.
Source: iskmmanetwork.blogspot.com
Vp = (mb + mp) / mp · √2gh. Jenis tumbukan yang kedua adalah tumbukan lenting sebagian di mana akan mengalami kehilangan energi kinetik setelah tumbukan. 2hgci 2 aq c 2 o 4 2 aq 2co 2 g hg 2 ci 2 s 2ci aq diketahui dengan mengukur jumlah mol hg 2 ci 2 yang mengendap per liter per menit dan diperoleh data diperoleh data sebagai berikut. Contoh soal tumbukan lenting sempurna. Tumbukan elastik sempurna (lenting sempurna).
Source: cpengertian.blogspot.com
M 1.v1 + m 2.v2 = m 2.v2� + m 1.v1�, dan. Dan 0 < e < 1. Semoga 10 contoh soal essay fisika (momentum dan tumbukan) lengkap jawaban pembahasan ini bermanfaat! Contoh soal dan jawaban soal tumbukan. Tumbukan elastik sempurna (lenting sempurna).
Source: scribd.com
Berikut ini beberapa contoh soal mengenai impuls momentum dan tumbukan beserta pembahasannya. Tumbukan lenting sempurna, tumbukan tidak lenting atau tidak lenting sama sekali, dan tumbukan lenting sebagian dengan koefisien restituti. 3 m/s dan 7 m/s b. Vp = (mb + mp) / mp · √2gh. Jika tumbukannya lenting sempurna, berapakah kecepatan.
Source: id.scribd.com
Contoh soal dan pembahasan momentum dan tumbukan, materi fisika kelas 2 sma. Vp = (1,9 + 0,1) / 0,1 · √ (2 · 10 ·0,2) vp = 20 · 2. Contoh soal tumbukan dan pembahasan. Vp = (mb + mp) / mp · √2gh. Jenis tumbukan yang kedua adalah tumbukan lenting sebagian di mana akan mengalami kehilangan energi kinetik setelah tumbukan.
Source: websiteedukasi.id
432021 pada materi getaran dan gelombang menanyakan getaran gelombang dan bunyi. Jika sebelum bertumbukan bola a bergerak dengan kelajuan 10 m/s dan bola b dalam keadaan diam maka kelajuan bola a dan bola b setelah tumbukan adalah…. Tumbukan tidak lenting sama sekali smk kesehatan samarinda ppt. Tumbukan elastik sempurna (lenting sempurna). Keduanya kemudian bertumbukan dan kecepatan benda 2 setelah bertumbukan 4 m/s dengan arah berlawanan dengan gerak semula.
Source: wallsopen.com
Pengertian teori tumbukan reaksi kimia. Peluru memiliki massa 0,03 kg bergerak dengan kecepatan 30 m/s menumbuk ayunan balok yang memiliki massa 1 kg dan tertanam didalam balok tersebut. Contoh soal tumbukan tidak lenting sama sekali ada sebuah peluru dengan massa 20 gram. Berapa kelajuan balok setelah tertancap peluru? Sebagai contoh adalah hak paten goodwill dan hak cipta jawaban d.
Source: es.scribd.com
Contoh soal tumbukan lenting sempurna. Contoh soal momentum impuls dan tumbukan contoh soal terbaru. Sebagai contoh adalah hak paten goodwill dan hak cipta jawaban d. Bola pertama bergerak ke arah timur dengan kecepatan 4 m/s dan bola kedua bergerak ke utara dengan kecepatan 3 m/s. Berikut ini beberapa contoh soal mengenai impuls momentum dan tumbukan beserta pembahasannya.
Source: akukamudansbmptn.blogspot.com
Jumlah tumbukan antara molekul molekul per satuan waktu disebut frekuensi tumbukan. Peluru memiliki massa 0,03 kg bergerak dengan kecepatan 30 m/s menumbuk ayunan balok yang memiliki massa 1 kg dan tertanam didalam balok tersebut. Tumbukan tidak lenting sama sekali pembahasan: Tumbukan lenting sempurna, tumbukan tidak lenting atau tidak lenting sama sekali, dan tumbukan lenting sebagian dengan koefisien restituti. Soal ebtanas fisika sma tahun 2001 no.
This site is an open community for users to submit their favorite wallpapers on the internet, all images or pictures in this website are for personal wallpaper use only, it is stricly prohibited to use this wallpaper for commercial purposes, if you are the author and find this image is shared without your permission, please kindly raise a DMCA report to Us.
If you find this site helpful, please support us by sharing this posts to your own social media accounts like Facebook, Instagram and so on or you can also bookmark this blog page with the title contoh soal dan pembahasan tumbukan by using Ctrl + D for devices a laptop with a Windows operating system or Command + D for laptops with an Apple operating system. If you use a smartphone, you can also use the drawer menu of the browser you are using. Whether it’s a Windows, Mac, iOS or Android operating system, you will still be able to bookmark this website.



