Contoh Soal Himpunan Pertidaksamaan. Contoh soal pertidaksamaan grafik from lh6.googleusercontent.com. 2 log 2 x + 2 log x + 8 < 0. Contoh soal dan jawaban pertidaksamaan rasional. Sistem pertidaksamaan linier 2 variabel yaitu system pertidaksamaan yang.
himpunan penyelesaian pertidaksamaan wood scribd indo From woodscribdindo.blogspot.com
Dari pertidaksamaan tersebut diketahui bahwa a 2 berarti a 1. Contoh 2 soal pertidaksamaan rasional dan penyelesaian brainly co id b 4x 1 x 8. Agar kamu tidak bingung marilah simak pembahasan materi pertidaksamaan rasional secara rinci. Beberapa contoh soal tentang mengetahui himpunan pertidaksamaan kuadrat berikut akan membantu sobat idschool dalam memahami materi. Contoh soal pertama tentukanlah himpunan dari −x² − 3x + 4 > 0. Mencari nilai x = jika y = 0, 5x = 30 = x = 30/5 = x = 6.
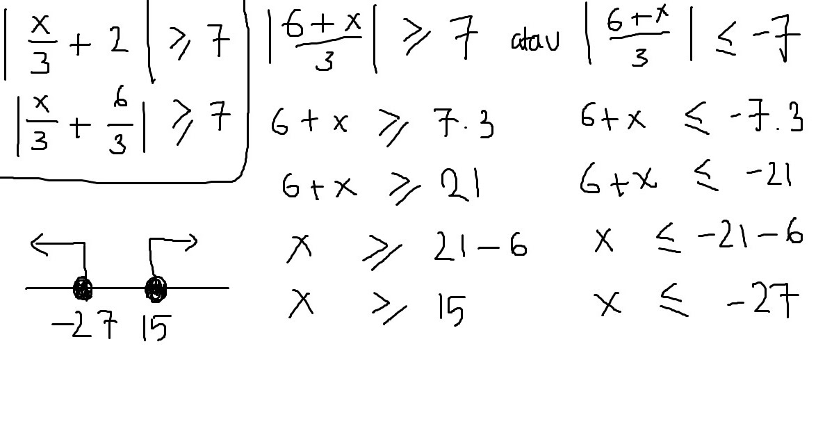
Ada beberapa pertidaksamaan aljabar yang ekuivalen dengan pertidaksamaan nilai mutlak.
Inilah beberapa contoh soal pertidaksamaan rasional atau pecahan lengkap. Ax ± b < 0. Contoh soal dan pembahasan pertidaksamaan linear agar kalian lebih memahami dan terampil dalam menentukan penyelesaian atau himpunan penyelesaian suatu pertidaksamaan linear satu variabel, perhatikan beberapa contoh. A log a 1 3. Ataupun dapat disebut saja sebagai sifat pertidaksamaan nilai mutlak. Carilah himpunan penyelesaian pertidaksamaan dibawah ini.
Source: unduhfile-guru.blogspot.com
Untuk soal pertidaksamaan linear yang pertama, kita bisa menyelesaikannya seperti ini: Telah kita ketahui bahwa persamaan linear adalah kalimat terbuka dimana variabelnya berderajat satu dengan menggunakan tanda hubung sama dengan. Untuk soal pertidaksamaan linear yang pertama, kita bisa menyelesaikannya seperti ini: Beberapa contoh pertidaksamaan logaritma diberikan seperti berikut. Materi contoh soal pertidaksamaan irasional bentuk akar part 2.
Source: yuk.mojok.my.id
Tentukan daerah penyelesaian dari pertidaksamaan linear dua variabel ini. Contoh soal pertidaksamaan pecahan linear dan kuadrat. Carilah himpunan penyelesaian pertidaksamaan dibawah ini. Sekarang mari kita coba kerjakan beberapa contoh soal pertidaksamaan nilai mutlak! Pembuat nol −x² − 3x + 4 = 0 x² + 3x − 4 = 0 (x+4) (x−1) = 0 x = −4 atau x = 1.
Source: youtube.com
Mencari nilai y = jika x = 0,. Ax ± b > 0; Rumus pertidaksamaan logaritma tersebut dapat diubah menjadi bentuk f (x). Selain bentuk di atas, ternyata masih banyak sifat lainnya yang pasti kamu belum tahu. Contoh soal dan pembahasan pertidaksamaan linear agar kalian lebih memahami dan terampil dalam menentukan penyelesaian atau himpunan penyelesaian suatu pertidaksamaan linear satu variabel, perhatikan beberapa contoh.
Source: woodscribdindo.blogspot.com
Perbesar penampakan contoh soal matematika yang memuat materi himpuanan penyelesaian pertidaksamaan linear. Himpunan penyelesaiannya dari sistem pertidaksamaan linear dua variabel merupakan irisan atau interaksi dari himpunan penyelesaian. Dengan nilai a, b adalah himpunan bilangan real (a, b є r) dan a ≠ 0. Contoh soal pertidaksamaan linear dua variabel. Contoh soal pertidaksamaan grafik from lh6.googleusercontent.com.
Source: contoh-surat.co
Agar kamu tidak bingung marilah simak pembahasan materi pertidaksamaan rasional secara rinci. Himpunan penyelesaiannya dari sistem pertidaksamaan linear dua variabel merupakan irisan atau interaksi dari himpunan penyelesaian. Contoh soal pertidaksamaan pecahan 1. Â pertidaksamaan linear dua variabel… Penyelesaian pertidaksamaan linear dua variabel untuk menyelesaikan pertidaksamaan linear kita dapat menggunakan beberapa metode.
Source: jawabanbukunya.blogspot.com
Gula = 2 kg = 2000 g. Contoh soal pertidaksamaan liniear contoh soal 1. Sehingga, himpunan penyelesaian pertidaksamaan dari soal nomor 1 yaitu {x | x ≤ −2, x ∈ r}. 2 log 2 x + 2 log x + 8 < 0. 3x + 8y ≥ 24, x + y ≥ 4, x ≥ 0, y ≥ 0.
Source: 101contohsoal.blogspot.com
Sistem pertidaksamaan linier 2 variabel yaitu system pertidaksamaan yang. Selain bentuk di atas, ternyata masih banyak sifat lainnya yang pasti kamu belum tahu. Silahkan perhatikan contoh soal di bawah ini. Contoh soal pertama tentukanlah himpunan dari −x² − 3x + 4 > 0. Inilah beberapa contoh soal pertidaksamaan rasional atau pecahan lengkap.
Source: kunciujianbaru.blogspot.com
Bentuk ketiga pertidaksamaan logaritma ialah ᵃlog f (x). Telah kita ketahui bahwa persamaan linear adalah kalimat terbuka dimana variabelnya berderajat satu dengan menggunakan tanda hubung sama dengan “=”. Penyelesaian pertidaksamaan linear dua variabel untuk menyelesaikan pertidaksamaan linear kita dapat menggunakan beberapa metode. Tentukanlah himpunan penyelesaian dari pertidaksamaan berikut. Silahkan perhatikan contoh soal di bawah ini.
This site is an open community for users to share their favorite wallpapers on the internet, all images or pictures in this website are for personal wallpaper use only, it is stricly prohibited to use this wallpaper for commercial purposes, if you are the author and find this image is shared without your permission, please kindly raise a DMCA report to Us.
If you find this site adventageous, please support us by sharing this posts to your own social media accounts like Facebook, Instagram and so on or you can also save this blog page with the title contoh soal himpunan pertidaksamaan by using Ctrl + D for devices a laptop with a Windows operating system or Command + D for laptops with an Apple operating system. If you use a smartphone, you can also use the drawer menu of the browser you are using. Whether it’s a Windows, Mac, iOS or Android operating system, you will still be able to bookmark this website.



