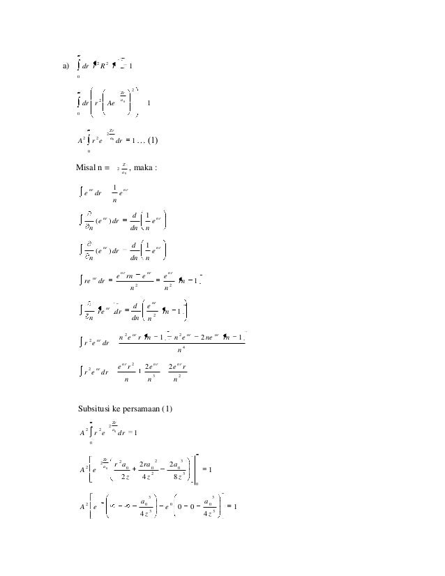
Contoh Soal Mekanika Kuantum Fisika. ∫∞ − ∞ψn(x) ∗ ψm(x)dx = δnm. Dalam mekanika kuantum, terdapat suatu pengertian yang membingungkan. Massa atom yang terpusat pada inti atom b. Contoh soal fisika kesetimbangan benda tegar;
Contoh Soal Un Fisika Sma 2014 Dan Pembahasannya From todohigh-power.weebly.com
Pembahasan e = h(c / λ) e = (6,6 x 10 −34)( 3 x 10 8 / 6600 x 10 −10) = 3 x 10 −19 joule soal no. Soal dan pembahasan fisika kelas xii semester 1 gelombang. Soal dan jawaban teori kuantum planck soal dan pembahasan teori kuantum planck contoh soal teori kuantum planck soal soal teori kuantum planck daya, intensitas, kuanta energi dan jumlah foton rumus minimal energi foton e = hf e = h( c / λ) energi foton sejumlah n e = nhf e = nh( c / λ) konversi 1 elektron volt = 1 ev = 1,6 x 10 −19 joule Contoh soal fisika kuantum contoh soal fisika kuantum frekuensi ambang dari sebuah logam yakni 4 x 10 14 hz. Tunjukkanlah hubungan berikut akan terjadi diantara fungsi gelombang ψn(x) dan ψm(x) untuk sebuah partikel dalam kotak satu dimensi. Untuk memudahkan kalian dalam memahami uraian yang ada di atas, berikut ini adalah contoh soal beserta pembahasan yang dapat kalian pelajari, antara lain:
Soal dan pembahasan fisika kelas xii semester 1 gelombang.
Dualisme sifat cahaya dan model atom. Contoh soal kimia kuantum dan pembahasannya. Contoh soal dan pembahasan tentang teori kuantum planck materi fisika kelas 3 xii sma dengan kata kunci daya intensitas kuanta energi. Pembahasan soal un fisika 2019 no 23 fisika video. 3 minutes halo teman ambis, setelah membaca artikel bilangan kuantum, kini saatnya kita berlatih soal agar teman ambis paham dengan materi ini. Sebenarnya fisika kuantum/kimia kuantum/mekanika klasik/fisika klasik/kimia klasik sama hanya berbeda penyebutannya saja.
Source: slideshare.net
1 tentukan kuanta energi yang terkandung dalam sinar dengan panjang gelombang 6600 å jika kecepatan cahaya adalah 3 x 10 8 m/s dan tetapan planck adalah 6,6 x 10 −34 js ! Mekanika kuantum adalah bagian dari teori fisika kuantum dan medan kuantum, dan merupakan salah satu pilar fisika modern. Contoh soal bilangan kuantum | kimia kelas 10 2 min read reading time: Massa atom yang terpusat pada inti atom b. 2 2 22 2 2 2 2 22 sin 1 sin sin 1ˆ sin 1 sin sin 1ˆ l l persamaan laplacian pada koordinat spheric dapat dituliskan menjadi:
Source: slideshare.net
Contoh soal fisika kuantum 1. Ketiga bilangan kuantum ini merupakan bilangan bulat sederhana yang menunjukkan peluang adanya elektron di sekeliling inti atom. Frekuensi ambang dari sebuah logam yakni 4 x 10 14 hz. Contoh soal fisika kelas 12 medan magnet; Gaya sebesar f 2iˆ 2ˆj 4kˆ n bekerja pada sebuah benda yang akhirnya membuat benda tersebut berpindah dari titik r 0 ( 1,0,2)m menuju titik r ( 1,4,8)m.
Source: slideshare.net
Massa atom yang terpusat pada inti atom b. Contoh soal fisika kelas 12 medan magnetik; Contoh soal dan pembahasan tentang teori kuantum planck, materi fisika kelas 3 (xii) sma, dengan kata kunci daya, intensitas, kuanta energi dan jumlah foton. Tentukan bilangan kuantum yang lainnya! Tunjukkanlah hubungan berikut akan terjadi diantara fungsi gelombang ψn(x) dan ψm(x) untuk sebuah partikel dalam kotak satu dimensi.
Source: kumpulanilmupopuler88.blogspot.com
Contoh soal olimpiade fisika termodinamika 2011 elektrodinamika 2011 fisika modern dan mekanika kuantum 2011 mekanika klasik 2011 contoh soal olimpiade kimia kimia seleksi onmipa tingkat wilayah 2016 kimia seleksi onmipa tingkat wilayah 2015 kimia analtik 2011 kimia anorganik 2011 kimia. Gaya sebesar f 2iˆ 2ˆj 4kˆ n bekerja pada sebuah benda yang akhirnya membuat benda tersebut berpindah dari titik r 0 ( 1,0,2)m menuju titik r ( 1,4,8)m. ∫∞ − ∞ψn(x) ∗ ψm(x)dx = δnm. Contoh soal fisika kelas 12 medan magnet; Contoh soal fisika kelas 8 tentang gaya;
Source: scribd.com
Frekuensi ambang dari sebuah logam yakni 4 x 10 14 hz. Sebenarnya fisika kuantum/kimia kuantum/mekanika klasik/fisika klasik/kimia klasik sama hanya berbeda penyebutannya saja. Δnm adalah delta kronecker dimana akan sama dengan 1 jika n = m dan 0 jika n ≠ m. Fisika modern (pendekatan konseptual) by abdul halim. Massa atom yang terpusat pada inti atom b.
Source: todohigh-power.weebly.com
Contoh soal dan pembahasan tentang teori kuantum planck materi fisika kelas 3 xii sma dengan kata kunci daya intensitas kuanta energi. Contoh soal fisika kuantum 1. Suatu elektron memiliki harga bilangan kuantum utama (n) = 5. Soal dan pembahasan fisika kelas xii semester 1 gelombang. Tunjukkanlah hubungan berikut akan terjadi diantara fungsi gelombang ψn(x) dan ψm(x) untuk sebuah partikel dalam kotak satu dimensi.
Source: belajarjawaban.blogspot.com
Tentukan konfigurasi elektron serta diagram elektron dari atom unsur serta ion monoatomik di bawah ini: Contoh soal fisika kuantum contoh soal fisika kuantum frekuensi ambang dari sebuah logam yakni 4 x 10 14 hz. Contoh soal dan pembahasan teori kuantum plank soal no. 2 2 2 2 2 1 t x t x v ps v adalah. Nilai l = 0, 1, 2, dan 3.
Source: slideshare.net
Dualisme sifat cahaya dan model atom. 1 tentukan kuanta energi yang terkandung dalam sinar dengan panjang gelombang 6600 å jika kecepatan cahaya adalah 3 x 10 8 m/s dan tetapan planck adalah 6,6 x 10 −34 js ! Dualisme sifat cahaya dan model atom. Simaklah penjelasan bilangan kuantum dari kursiguru di bawah ini. Contoh soal fisika kelas 8 semester 1;
This site is an open community for users to do sharing their favorite wallpapers on the internet, all images or pictures in this website are for personal wallpaper use only, it is stricly prohibited to use this wallpaper for commercial purposes, if you are the author and find this image is shared without your permission, please kindly raise a DMCA report to Us.
If you find this site convienient, please support us by sharing this posts to your favorite social media accounts like Facebook, Instagram and so on or you can also bookmark this blog page with the title contoh soal mekanika kuantum fisika by using Ctrl + D for devices a laptop with a Windows operating system or Command + D for laptops with an Apple operating system. If you use a smartphone, you can also use the drawer menu of the browser you are using. Whether it’s a Windows, Mac, iOS or Android operating system, you will still be able to bookmark this website.

