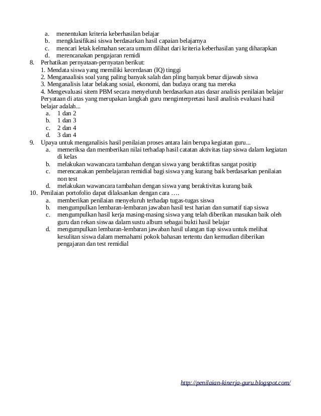
Contoh Soal Uka Kompetensi Pedagogik. Contoh soal ukg pedagogik sd, sdlb, tk, smp, sma, dan smk ukg pedagogik bertujuan mengukur kompetensi pedagogik dalam domain content. Kepribadian, pedagogik, professional, dan sosial. Serangkaian kegiatan untuk menetapkan ukuran terhadap suatu gejala menurut aturan tertentu adalah: 50 contoh soal pedagogik plpg/ukg 2016.
Contoh soal uka kompetensi kepribadian From slideshare.net
Soal uji kompetensi pedagogik 2. Setiap soal telah disertakan capaian pembelajaran dan indikator esensial yang berpadanan sebagai tolak ukur asesmen. Kepribadian, pedagogik, professional, dan kewirausahaan. Berikut adalah beberapa contoh soal kompetensi pedagogik pretest program ppg dalam jabatan yang dilengkapi dengan kunci jawabannya. Yang dimaksud dengan penguasaan kognitif yaitu. Kamu bisa mengunduh atau mendownload contoh soal di bawah ini dengan mudah dan tentunya gratis.
Soal ppg pedagogik ini berjumlah 100 soal dan dilengkapi dengan kunci jawaban.
Contoh soal pedagogik barangkali penting untuk dijadikan sebagai bahan belajar bagi bapak ibu guru yang akan ikut uji kompetensi guru. Soal kompetensi kepribadian dan sosial 5. Jumlah soal pedagogik guru sd. Contoh soal uka kompetensi pedagogik 1 contoh soal uka kompetensi pedagogik 2 contoh soal uka kompetensi pedagogik 3 contoh soal uka kompetensi kepribadiancontoh soal uka. Kepribadian, pedagogik, professional, dan kewirausahaan. Pedagogik dari p endro 4.
Source: slideshare.net
Contoh soal ukg kompetensi pedagogik dan profesional 1. Soal juga disediakan dalam format pdf yang dapat diunduh melalui tautan berikut:. Contoh soal uka kompetensi pedagogik. Contoh soal pedagogik pilihan ganda 3. Yang dimaksud dengan penguasaan kognitif yaitu.
Source: slideshare.net
Contoh soal uka kompetensi pedagogik 1.pdf. Contoh soal uji kompetensi awal pedagogik Sebelum menyantap 50 soal berikut, mungkin baiknya kita tahu dulu apa itu pedagogik. Contoh soal uka kompetensi pedagogik 2; Di bawah ini, kursiguru akan membagikan contoh soal pedagogik.
Source: slideshare.net
Serangkaian kegiatan untuk menetapkan ukuran terhadap suatu gejala menurut aturan tertentu adalah: Kompetensi yang harus dimiliki guru (pendidik) berdasarkan permendiknas nomor 16 tahun 2007 adalah kompetensi. Latihan soal uji kompetensi pamong belajar: Soal ujian dan berkas pendidikan untuk semua siswa dan guru di jenjang pendidikan sd, smp, sma, smk, dan lainnya Dari tabel di atas, tampak jelas untuk soal pedagogik guru sd berjumlah 100 butir soal pilihan ganda dengan 5 pilihan jawaban.
Source: 101contohsoal.blogspot.com
Contoh soal uka kompetensi pedagogik 2; Contoh soal pedagogik barangkali penting untuk dijadikan sebagai bahan belajar bagi bapak ibu guru yang akan ikut uji kompetensi guru. 50 contoh soal pedagogik plpg/ukg 2016. Soal juga disediakan dalam format pdf yang dapat diunduh melalui tautan berikut:. Contoh soal uka kompetensi pedagogik 1.pdf.
Source: vdocuments.net
Sebelumnya kami juga telah membuat soal dan materi ppg di halaman lainnya yang dapat anda akses di soal ppg lengkap. Soal juga disediakan dalam format pdf yang dapat diunduh melalui tautan berikut:. Contoh soal uka kompetensi pedagogik 1.pdf. Kualifikasi perididikan s1 yang relevan. Kepribadian, pedagogik, professional, dan manajerial.
Source: slideshare.net
Serangkaian kegiatan untuk menetapkan ukuran terhadap suatu gejala menurut aturan tertentu adalah: Pedagogik kompetensi soal p i l i h l a h u r u fa , b , c , d a ne d i d e p a na w a b a n a n g a l i n g c n a ri j y p b 1. Dari semua kompetensi pedagogik di atas, maka semua itu dijadikan sebagai materi yang dimasukkan dalam uji pedagogik. Contoh soal uka kompetensi pedagogik. Contoh soal ukg pedagogik sd, sdlb, tk, smp, sma, dan smk ukg pedagogik bertujuan mengukur kompetensi pedagogik dalam domain content.
Source: dikdasmen.my.id
Ya, pedagogik adalah salah satu dari 4 kompetensi yang harus dimiliki oleh seorang guru. Jumlah soal pedagogik guru sd. Dari tabel di atas, tampak jelas untuk soal pedagogik guru sd berjumlah 100 butir soal pilihan ganda dengan 5 pilihan jawaban. Berikut contoh soal kompetensi pedagogik ukg (uji kompetensi guru) 1. Kamu bisa mengunduh atau mendownload contoh soal di bawah ini dengan mudah dan tentunya gratis.
Source: variansi.com
20210316 soal dan kunci jawaban modul pedagogik pembelajaran 2 karakteristik peserta didik seri guru belajar mandiri calon guru asn pppk. Contoh soal uji kompetensi awal pedagogik Tahap awal yang dilakukan pendidikan profesi guru (ppg) dalam jabatan sebagai upaya untuk mengetahui capaian kompetensi awal peserta ppg. 50 contoh soal pedagogik plpg/ukg 2016. Berikut contoh soal kompetensi pedagogik ukg (uji kompetensi guru) 1.
This site is an open community for users to share their favorite wallpapers on the internet, all images or pictures in this website are for personal wallpaper use only, it is stricly prohibited to use this wallpaper for commercial purposes, if you are the author and find this image is shared without your permission, please kindly raise a DMCA report to Us.
If you find this site value, please support us by sharing this posts to your favorite social media accounts like Facebook, Instagram and so on or you can also save this blog page with the title contoh soal uka kompetensi pedagogik by using Ctrl + D for devices a laptop with a Windows operating system or Command + D for laptops with an Apple operating system. If you use a smartphone, you can also use the drawer menu of the browser you are using. Whether it’s a Windows, Mac, iOS or Android operating system, you will still be able to bookmark this website.



