Contoh Surat Lamaran Cpns Tanah Laut. Contoh surat lamaran cpns kabupaten tambrauw 2019 adalah merupakan format surat lamaran kerja cpns 2019 yang akan saya bagikan kali ini untuk anda, terutama bagi anda yang berencana mendaftar cpns tahun 2019 di lingkungan pemerintah kabupaten tambrauw. 430/./dpd/vi/2014 yang bertandatangan di bawah ini : Berikut informasi sepenuhnya tentang contoh surat lamaran cpns ke bupati 2018. Pemerintah kota baubau, provinsi sulawesi tenggara (sultra) menyediakan formasi jabatan sebanyak 218 untuk calon pelamar.
Contoh Surat Lamaran Polisi Kehutanan Contoh Terbaru From pedlavot.blogspot.com
Pada artikel ini, bang lulus akan memberikan contoh cara membuat surat lamaran cpns dan surat pernyataan cpns sebagai referensi. Nah jika anda saat ini sedang mencari format surat lamaran cpns kabupaten bantul tahun 2019,. Semoga uraian dan contoh format yang kami ulas dan sertakan diatas dapat bermanfaat untuk anda semua, terutama buat. Nah jika anda saat ini sedang mencari format surat lamaran cpns kabupaten kapuas tahun 2019,. Lowongan kerja kementrian kelautan dan perikanan lowongan kerja. Lowongan formasi aparatur sipil negara (asn) badan keamanan laut (bakamla) cpns mei 28, 2021148 views.
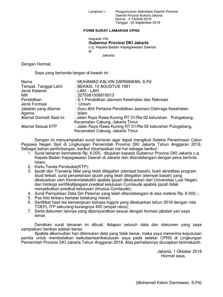
Lamaran ditulis tangan dengan menggunakan tinta hitam diatas kertas double folio bergaris bermaterai rp.
Surat permohonan calon anggota bpd, contohnya silahkan donwload disini. Contoh amplop lamaran cpns 2012 1. Cpns, surat lamaran kerja desember 14, 2021 18:54. Doc contoh surat lamaran kerja henita yahya academiaedu. Cara membuat surat lamaran dan surat penyataan cpns kemenkumham 2017. Contoh surat lamaran cpns 2019 ditulis tangan website resmi.
Source: rumahpendidik.github.io
Surat lamaran cpns kementerian kesehatan contoh surat lamaran. Contoh surat pernyataan kerja untuk cpns dan prakerja. Berikut informasi sepenuhnya tentang tulis tangan contoh surat lamaran kerja cpns. Contoh surat lamaran cpns 2021 kementerian lingkungan hidup dan kehutanan sijori kepri sumber informasi Contoh surat lamaran dan pernyataan cpns kkp have an image associated with the other.
Source: bagikansurat.blogspot.com
Pemerintah kota baubau, provinsi sulawesi tenggara (sultra) menyediakan formasi jabatan sebanyak 218 untuk calon pelamar. Nah jika anda saat ini sedang mencari format surat lamaran cpns kabupaten kapuas tahun 2019,. Contoh surat lamaran cpns 2021 kementerian lingkungan hidup dan kehutanan sijori kepri sumber informasi Berikut informasi sepenuhnya tentang tulis tangan contoh surat lamaran kerja cpns. Demikian ulasan artikel yang berjudul download format surat lamaran cpns 2019 dan surat pernyataan cpns 2019.
Source: suratlamarankerjakita.blogspot.com
Contoh surat lamaran dan pernyataan cpns kkp picture put up ang submitted by admin that preserved in our collection. Contoh surat lamaran cpns 2019 ditulis tangan website resmi. Nah jika anda saat ini sedang mencari format surat lamaran cpns kabupaten tanah. Contoh surat lamaran cpns kabupaten bantul 2019 adalah merupakan format surat lamaran kerja cpns 2019 yang akan saya bagikan kali ini untuk anda, terutama bagi anda yang berencana mendaftar cpns tahun 2019 di lingkungan pemerintah kabupaten bantul. Unggah surat lamaran bermeterai rp.
Source: id.pinterest.com
Contoh surat pernyataan kerja untuk cpns dan prakerja. Berikut adalah contoh surat lamaran untuk pelamar umum cpns kabupaten tanah laut. Untuk anda yang sedang bingung bagaimana bentuk dan format surat pernyataan dala mmelamar cpns, di bawah ini kami sediakan contoh surat pernyataan cpns untuk lulusan sma di salah satu kementerian yang. Link contoh surat lamaran cpns kemenag 2021. Contoh surat lamaran cpns kabupaten tanah datar 2019 adalah merupakan format surat lamaran kerja cpns 2019 yang akan saya bagikan kali ini untuk anda, terutama bagi anda yang berencana mendaftar cpns tahun 2019 di lingkungan pemerintah kabupaten tanah datar.
Source: rumahpendidik.github.io
Contoh terbaru surat lamaran cpns kemendikbud tahun 2018 beserta cara. Contoh contoh surat lamaran pendaftaran cpns 2018 perhatikan. 6000 dan dibubuhi tanda tangan yang bersangkutan dan tempat lahir disertai nama kabupaten/ kota. Admin blog berbagi contoh surat 2019 juga mengumpulkan gambar. Contoh bentuk surat lamaran pendaftaran cpns 2018 download disini.
Source: contohsuratlengkap.org
Contoh surat lamaran cpns kabupaten bantul 2019 adalah merupakan format surat lamaran kerja cpns 2019 yang akan saya bagikan kali ini untuk anda, terutama bagi anda yang berencana mendaftar cpns tahun 2019 di lingkungan pemerintah kabupaten bantul. Lamaran menjadi cpns di yth. Contoh surat lamaran cpns kota padang 2018 adalah merupakan format surat lamaran kerja cpns yang akan saya bagikan kali ini untuk anda terutama bagi anda yang berencana mendaftar cpns tahun 2018 di lingkungan pemerintah kota padang. Download surat lamaran pernyataan untuk seluruh pelamar cpns kemenkes 2018 tipssehatcantik com from www.tipssehatcantik.com. Contoh surat lamaran cpns kemenag 2019 format pdf dan teks tirto id.
Source: pedlavot.blogspot.com
Berikut adalah contoh surat lamaran untuk pelamar umum cpns kabupaten tanah laut. Contoh surat lamaran cpns kabupaten bantul 2019 adalah merupakan format surat lamaran kerja cpns 2019 yang akan saya bagikan kali ini untuk anda, terutama bagi anda yang berencana mendaftar cpns tahun 2019 di lingkungan pemerintah kabupaten bantul. Surat lamaran cpns kementerian kesehatan contoh surat lamaran. Contoh surat lamaran kerja cpns. Contoh surat lamaran kerja cpns kemenkumham tulis tangan sederhana.
Source: kumpulancontohgambar.blogspot.com
Download surat lamaran pernyataan untuk seluruh pelamar cpns kemenkes 2018 tipssehatcantik com from www.tipssehatcantik.com. Contoh surat lamaran cpns kabupaten kapuas 2019 adalah merupakan format surat lamaran kerja cpns 2019 yang akan saya bagikan kali ini untuk anda, terutama bagi anda yang berencana mendaftar cpns tahun 2019 di lingkungan pemerintah kabupaten kapuas. Berikut informasi sepenuhnya tentang contoh surat lamaran cpns ke bupati 2018. Berikut adalah contoh surat lamaran untuk pelamar umum cpns kabupaten tanah laut. Pada artikel ini, bang lulus akan memberikan contoh cara membuat surat lamaran cpns dan surat pernyataan cpns sebagai referensi.
This site is an open community for users to share their favorite wallpapers on the internet, all images or pictures in this website are for personal wallpaper use only, it is stricly prohibited to use this wallpaper for commercial purposes, if you are the author and find this image is shared without your permission, please kindly raise a DMCA report to Us.
If you find this site adventageous, please support us by sharing this posts to your favorite social media accounts like Facebook, Instagram and so on or you can also save this blog page with the title contoh surat lamaran cpns tanah laut by using Ctrl + D for devices a laptop with a Windows operating system or Command + D for laptops with an Apple operating system. If you use a smartphone, you can also use the drawer menu of the browser you are using. Whether it’s a Windows, Mac, iOS or Android operating system, you will still be able to bookmark this website.


