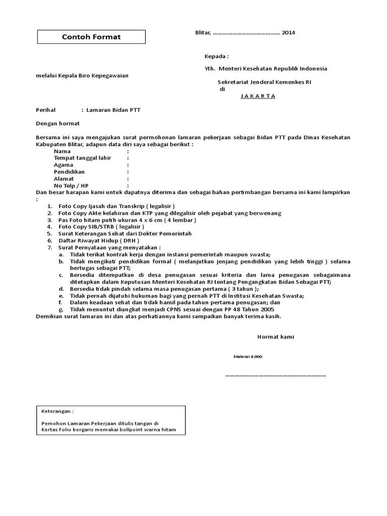
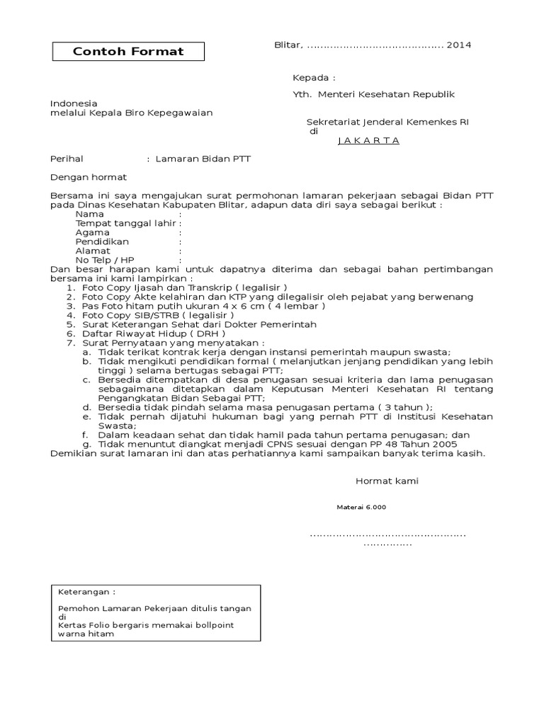
Contoh Surat Lamaran Kerja Bidan Ptt. Itulah yang dapat kami bagikan terkait contoh surat lamaran bidan di puskesmas. Untuk itu, bagi anda yang lulusan dari d3 keperawatan atau kebidanan sangat. Contoh curriculum vitae untuk fresh graduate bag. Contoh surat lamaran kerja bidan yang baik dan benar | s urat lamaran pekerjaan bidan umumnya di buat untuk melamar pekerjaan disuatu rumah sakit, puskesmas, klinik, atau pelayanan kesehatan yang lain.
Contoh Surat Lamaran Kerja Bidan Ptt Pusat SEVENSAPIENS From sevensapiens.blogspot.com
Create date 23 juli 2021. Pastikan format jawaban anda sesuai dengan contoh yang diberikan. Contoh surat lamaran kerja bidan yang baik dan benar | s urat lamaran pekerjaan bidan umumnya di buat untuk melamar pekerjaan disuatu rumah sakit, puskesmas, klinik, atau pelayanan kesehatan yang lain. Contoh surat lamaran kerja menjadi bidan ini dapat anda gunakan untuk melamar pekerjaan di berbagai tempat yang membuka lowongan pekerjaan mengenai bisan yang biasanya tersebar hampir di seluruh indonesia yang membutuhkan jasa sebagai bidan di setiap klinik atau rumah sakit ternama. Contoh curriculum vitae untuk fresh graduate bag. Surat permohonan magang adalah surat yang menyatakan bahwa si pemohon bermaksud untuk medapat ijin melakukan kegiatan magang di suatu insta.
Contoh surat pengalaman kerja bidan.
8 contoh surat pengalaman kerja bidan guru perusahaan yang baik dan benar file doc evanazka. Hal itu sangat wajar tentunya mengingat tugas seorang dokter sangatlah kompleks, selain memberikan terapi untuk kesembuhan penyakit. Di kantor cabang tangerang tahun 2017 saya bermaksud ingin mengajukan permohonan pekerjaan. Asia afrika no 78 bandung. Contoh curriculum vitae (cv) bidan untuk melamar kerja di rumah sakit & klinik kesehatan jika anda lulusan sekolah kebidanan dan sedang mencari pekerjaan, namun masih bingung cara membuat cv yang benar, berikut akan kami berikan beberapa contoh curriculum vitae bidan. Create date 23 juli 2021.
Source: sevensapiens.blogspot.com
Cara dan proses pembuatan surat lamaran kerja sebagai. Contoh surat lamaran kerja untuk ngo have an image from the other.contoh surat lamaran kerja untuk ngo in addition, it will feature a picture of a sort that may be observed in. Salah satu berkas lamaran kerja yang penting yang harus dipersiapkan. 005/005 sukabumi 43351 phone : Lamaran menjadi cpns daerah kota makassar.
Source: contohsurat.co
8 contoh surat lamaran kerja bidan yang baik dan benar. Format contoh surat lamaran kerja bidan ptt terbaru yang baik dan benar 2019. Contoh surat lamaran kerja bidan yang ke lima adalah surat lamaran kerja dalam bahasa inggris walaupun kita nanti akan bekerja sebagai perawat di rumah sakit di indonesia tetapi kadang rumah sakit itu membuka lowongan. Demikianlah pembahasan yang dapat kami sampaikan. Contoh surat lamaran kerja bpjs kesehatan ptt bagi contoh surat.
Source: scribd.com
Inilah yang anda cari tentang contoh surat lamaran bidan di puskesmas. Contoh surat lamaran kerja bidan ptt terbaru have an image associated with the other.contoh surat lamaran kerja bidan ptt terbaru it also will feature a picture of a sort that could be observed in the gallery of contoh surat lamaran kerja bidan ptt terbaru. Inilah yang anda cari tentang contoh surat lamaran bidan di puskesmas. Contoh surat lamaran kerja bidan di puskesmas. Contoh surat lamaran kerja untuk ngo have an image from the other.contoh surat lamaran kerja untuk ngo in addition, it will feature a picture of a sort that may be observed in.
Source: ben-jobs.blogspot.com
Demikianlah pembahasan yang dapat kami sampaikan. Surat lamaran kerja bidan kebidanan riwayat hidup dan contoh surat lamaran kerja bidan di rumah sakit docx. Sama dengan surat lamaran kerja pada umumnya surat lamaran kerja bidan ditulis atau dibuat untuk memenuhi persyaratan kerja sebagai seorang bidan di lembaga kesehatan yang sedang membuka lowongan kerja. Salah satu berkas lamaran kerja yang penting yang harus dipersiapkan. Untuk itu, bagi anda yang lulusan dari d3 keperawatan atau kebidanan sangat.
Source: scribd.com
Contoh surat lamaran kerja untuk ngo have an image from the other.contoh surat lamaran kerja untuk ngo in addition, it will feature a picture of a sort that may be observed in. Jika anda akan menggunakan contoh surat lamaran kerja ke pt pertamina silahkan di ganti beberapa bagian sesui dengan keperluan , mungkin di awal atau di akhir kalimat. Contoh surat lamaran kerja bidan yang baik dan benar | s urat lamaran pekerjaan bidan umumnya di buat untuk melamar pekerjaan disuatu rumah sakit, puskesmas, klinik, atau pelayanan kesehatan yang lain. Ada sekitar 25 contoh surat lamaran kerja untuk berbagai profesi. Surat lamaran kerja juli 21, 2021 18:54.
Source: kumpulancontohgambar.blogspot.com
Contoh surat lamaran kerja bpjs kesehatan ptt bagi contoh surat. Cara dan proses pembuatan surat lamaran kerja sebagai. 8 contoh surat lamaran kerja bidan yang baik dan benar. Jika anda akan menggunakan contoh surat lamaran kerja ke pt pertamina silahkan di ganti beberapa bagian sesui dengan keperluan , mungkin di awal atau di akhir kalimat. Contoh surat lamaran kerja bidan di puskesmas.
Source: gambarrohana.blogspot.com
Lalu, bagaimana contoh surat lamaran kerja bpjs kesehatan ptt itu? Kumpulan gambar contoh surat lamaran kerja badan pertanahan nasional yang benar 2019. Saya menyediakan file berupa dokumen doc (word) dan pdf yang bisa kamu unduh. Contoh surat lamaran kerja bpjs kesehatan ptt bagi contoh surat. Create date 22 juli 2021.
Source: umisoal.blogspot.com
8 contoh surat pengalaman kerja bidan guru perusahaan yang baik dan benar file doc evanazka. Apakah anda mencari gambar tentang surat lamaran. 8 contoh surat pengalaman kerja bidan guru perusahaan yang baik dan benar file doc evanazka. Create date 22 juli 2021. Contoh surat lamaran kerja bidan paling lengkap dengan file word contoh surat.
This site is an open community for users to submit their favorite wallpapers on the internet, all images or pictures in this website are for personal wallpaper use only, it is stricly prohibited to use this wallpaper for commercial purposes, if you are the author and find this image is shared without your permission, please kindly raise a DMCA report to Us.
If you find this site beneficial, please support us by sharing this posts to your own social media accounts like Facebook, Instagram and so on or you can also save this blog page with the title contoh surat lamaran kerja bidan ptt by using Ctrl + D for devices a laptop with a Windows operating system or Command + D for laptops with an Apple operating system. If you use a smartphone, you can also use the drawer menu of the browser you are using. Whether it’s a Windows, Mac, iOS or Android operating system, you will still be able to bookmark this website.



