Contoh Surat Permohonan Bantuan Bencana Alam. Contoh surat mohon bantuan atap rumah dibawah adalah khas untuk membantu meraka yang terlibat dengan bencana alam ini. Bencana alam adalah bencana yang diakibatkan oleh peristiwa yang disebabkan oleh alam, seperti gempa bumi, tsunami, gunung meletus, banjir, kekeringan, angin topan, tanah longsor,. 1 (satu berkas) kepada yth: Sehubungan dengan bencana banjir yang baru saja menimpa lingkungan sekitar sma.
Contoh Surat Permohonan Narasumber Bimtek Kumpulan From contoh-surat.co
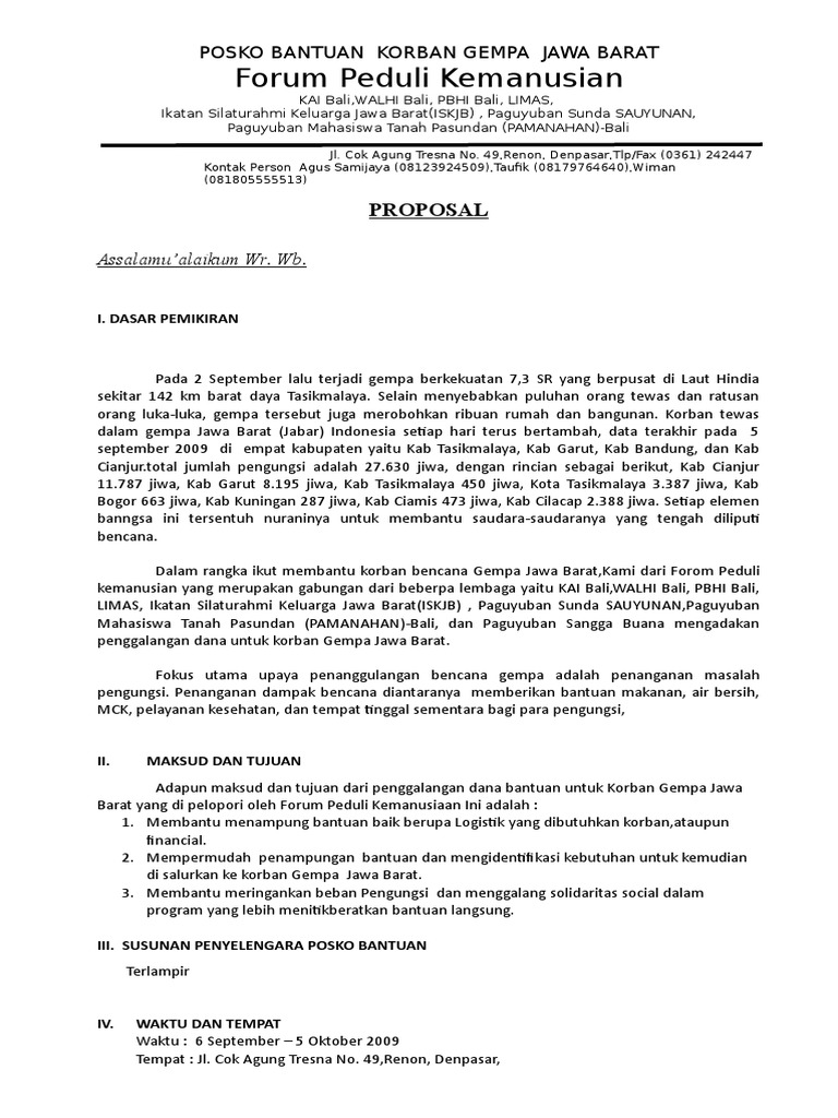
Sebagaimana contoh surat permohonan bantuan. Contoh surat permohonan izin penggalangan dana bantuan bencana alam tukang ngetik contoh surat berikut ini saya akan sedikit memberikan contoh tentang contoh surat permohonanan izin kepada pihak kepolisian untuk melakukan penggalangan dana bantuan untuk korban bencana alam. Sebelum membuat surat laporan kejadian bencana alam. Musibah merupakan bagian dari ujian yang diberikan oleh tuhan yang. Surat permohonan bantuan bencana alam. 15 contoh surat tugas resmi yang baik dan terbaru 2021.
Musibah merupakan bagian dari ujian yang diberikan oleh tuhan yang.
Contoh teks eksplanasi sosial budaya dan bencana alam. Lihat gambar terbaik untuk judul doc contoh surat permohonan bantuan dana wildan pratama acad They are so many great picture list that could become your enthusiasm and informational reason for contoh surat permohonan bantuan banjir design ideas on your own collections. Surat permohonan bantuan bencana alam. Mokhamad isyai mokhamadisyai di pinterest proposal kebakarandocx 1 indo tata cara pengajuan proposal bantuan bencana kebakaran desa puteran. Surat permohonan bantuan bencana alam adalah surat permohonan yang dibuat secara tertulis untuk memohon dana bantuan bencana alam kepada orang pribadi maupun secara kelembagaan.
Source: gambarsurat2020.blogspot.com
Contoh surat permohonan bantuan biaya pendidikan. 5 contoh teks laporan hasil observasi alam bencana lingkungan. Contoh surat laporan bencana alam dari desa. Inilah 7 bencana alam dahsyat di dunia selama 2017 halaman all. Musibah merupakan bagian dari ujian yang diberikan oleh tuhan yang maha kuasa kepada manusia.
Source: gambarsurat2020.blogspot.com
Pihak yang dituakan tersebut meliputi kepala desa, ketua rw apabila permohonan bantuan mengatasnamakan warga yang terkena bencana alam. They are so many great picture list that could become your motivation and informational purpose of contoh surat permohonan bantuan dana bencana alam design ideas for your own collections. Contoh surat permohonan berbagai keperluan yang benar. 15 contoh surat tugas resmi yang baik dan terbaru 2021. Muat turun contoh surat mohon bantuan atap rumah
Source: contoh-surat.com
Musibah merupakan bagian dari ujian yang diberikan oleh tuhan yang. They are so many great picture list that could become your enthusiasm and informational reason for contoh surat permohonan bantuan banjir design ideas on your own collections. Contoh surat mohon bantuan atap rumah dibawah adalah khas untuk membantu meraka yang terlibat dengan bencana alam ini. Sebagaimana contoh surat permohonan bantuan. 15 contoh surat tugas resmi yang baik dan terbaru 2021.
Source: ideasswish.blogspot.com
Agar permohonan bantuan dana untuk korban mendapat kepercayaan tentunya di perlukan surat permohonan bantuan yang benar dan jelas. 1 (satu berkas) kepada yth: Untuk membantu sesama banyak pihak berinisiatif mencari bantuan dana. 10 contoh surat permohonan bantuan alat barang dana dan lainnya. Surat permohonan bantuan bencana alam adalah surat permohonan yang dibuat secara tertulis untuk memohon dana bantuan bencana alam kepada orang pribadi maupun secara kelembagaan.
Source: temukancontoh.blogspot.com
1 (satu berkas) kepada yth: 10 contoh surat permohonan bantuan alat barang dana dan lainnya. Contoh surat permohonan bantuan dana proposal pengajuan bantuan dana jika anda ingin mengajukan proposal bantuan dana misalnya untuk bantuan para korban bencana alam dan lain sebagainya berikut salah satu c ontoh. Selain berfungsi sebagai bahan pencatatan administrasi. Misalnya permohonan bantuan dana, bencana alam, berobat, makanan, masker, sembako, permohonan keringanan biaya sekolah/kuliah.
Source: scribd.com
Really is endless you are all enjoy and finally can find the best picture from our collection that published here and also use for appropriate needs for personal use. Musibah merupakan bagian dari ujian yang diberikan oleh tuhan yang. Contoh surat tugas relawan bencana. Surat permohonan bantuan bencana alam adalah surat permohonan yang dibuat secara tertulis untuk memohon dana bantuan bencana alam kepada orang pribadi maupun secara kelembagaan. Dengan demikian, pihak yang paling berhak membuat surat permohonan bantuan tersebut adalah pihak yang dituakan dalam kelompok tertentu.
Source: contohkumpulansurat.blogspot.com
15 contoh surat tugas resmi yang baik dan terbaru 2021. Agar permohonan bantuan dana untuk korban mendapat kepercayaan tentunya di perlukan surat permohonan bantuan yang benar dan jelas. Misalnya permohonan bantuan dana, bencana alam, berobat, makanan, masker, sembako, permohonan keringanan biaya sekolah/kuliah. Surat permohonan bantuan bencana alam. Proposal permohonan bantuan korban bencana alam longsor.
Source: contoh-surat.co
Contoh laporan bencana alam dari desa. Contoh untuk proposal bantuan dana rehab gedung sekolah gurupintar proposal rehab from data03.123doks.com Sebagaimana contoh surat permohonan bantuan. Contoh surat tugas relawan bencana. Untuk mengatasi masalah sumber dana ini dapat.
This site is an open community for users to do submittion their favorite wallpapers on the internet, all images or pictures in this website are for personal wallpaper use only, it is stricly prohibited to use this wallpaper for commercial purposes, if you are the author and find this image is shared without your permission, please kindly raise a DMCA report to Us.
If you find this site convienient, please support us by sharing this posts to your favorite social media accounts like Facebook, Instagram and so on or you can also save this blog page with the title contoh surat permohonan bantuan bencana alam by using Ctrl + D for devices a laptop with a Windows operating system or Command + D for laptops with an Apple operating system. If you use a smartphone, you can also use the drawer menu of the browser you are using. Whether it’s a Windows, Mac, iOS or Android operating system, you will still be able to bookmark this website.


